SOLUTION: Solve for 0° ≤ θ ≤ 360°: 2cosēθ - 3sin2θ - 2 = 0 Note: It's 3sin2θ and not 3sinēθ

Algebra ->  Test -> SOLUTION: Solve for 0° ≤ θ ≤ 360°: 2cosēθ - 3sin2θ - 2 = 0 Note: It's 3sin2θ and not 3sinēθ      Log On


   



Question 1132138: Solve for 0° ≤ θ ≤ 360°:
2cosēθ - 3sin2θ - 2 = 0
Note:
It's 3sin2θ and not 3sinēθ

Answer by MathLover1(20850) About Me  (Show Source):
You can put this solution on YOUR website!

Solve for 0° ≤ theta360°:

2cos%5E2%28theta%29+-+3sin%282theta%29+-+2+=+0+

2cos%5E2%28theta%29+-+3sin%282theta%29++=+2

2cos%5E2%28theta%29+-+3%2A2sin%28theta%29cos%28+theta%29+=+2

cos%5E2%28theta%29+-+3sin%28theta%29cos%28+theta%29+=1

cos%5E2%28theta%29+-1-+3sin%28theta%29cos%28+theta%29+=0

-sin%5E2%28theta%29+-+3sin%28theta%29cos%28+theta%29+=0

-sin%28theta%29+%28sin%28theta%29+%2B+3cos%28theta%29%29=0

solutions:
if
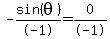
-sin%28theta%29=0
-sin%28theta%29%2F-1=0%2F-1
sin%28theta%29=0

=> theta+=+sin%5E-1%280%29+=pi%2An, n element Z
for 0° ≤ θ ≤ 360°=>
highlight%28theta=180%29°


or, if
sin%28theta%29+%2B+3cos%28theta%29=0

sin%28theta%29+=-+3cos%28theta%29

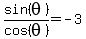
sin%28theta%29+%2Fcos%28theta%29=-+3

tan%28theta%29=-3

general solution for tan%28theta%29=-3+is:

theta=-tan%5E-1%283%29%2B180° and theta=-tan%5E-1%283%29%2B360°

theta=-71.57%2B180°

highlight%28theta=108.43%29°

theta=-71.57%2B360°

highlight%28theta=288.43%29°