SOLUTION: By the principle of mathematical induction, prove that, for n ∈ N, cos α + cos(α + β) + cos(α + 2β) + ··· + cos(α + (n − 1)β) = cos

Algebra ->  Test -> SOLUTION: By the principle of mathematical induction, prove that, for n ∈ N, cos α + cos(α + β) + cos(α + 2β) + ··· + cos(α + (n − 1)β) = cos       Log On


   



Question 1125669: By the principle of mathematical induction, prove that, for n ∈ N,
cos α + cos(α + β) + cos(α + 2β) + ··· + cos(α + (n − 1)β) = cos (α+((n-1)β/2)).(sin(nβ/2))/(sin(nβ/2))

Answer by MathLover1(20850) About Me  (Show Source):
You can put this solution on YOUR website!
Consider P+%28n%29%3A+sin+%28alpha%29%2B+sin+%28alpha%2B+beta%29+%2B+sin+%28alpha+%2B+2beta%29 + ... + for all natural number n.

We observe that P+%281%29 is true, since

Assume that P%28n%29 is true for some natural numbers k, i.e.,
P+%28k%29+%3A+sin+%28alpha%29%2B+sin+%28alpha%2B+beta%29%2B+sin+%28alpha%2B+2beta%29 + ... +

Now, to prove that P%28k%2B+1%29 is true, we have

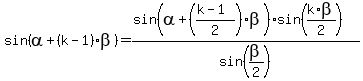
P+%28k%2B+1%29+%3A+sin+%28alpha%29%2B+sin+%28alpha%2B+beta%29+%2B+sin+%28alpha%2B+2beta%29+ ... +

=
=
=%28cos%28alpha+-beta%2F2%29-cos%28alpha+%2Bk%2Abeta%2Bbeta%2F2%29%29%2F2sin%28beta%2F2%29
=%28sin%28alpha%2Bk%2Abeta%2F2%29%2Asin%28%28k%2Abeta%2Bbeta%29%2F2%29%29%2Fsin%28beta%2F2%29
=%28sin%28alpha%2Bk%2Abeta%2F2%29%2Asin%28k%2B1%29%28beta%2F2%29%29%2Fsin%28beta%2F2%29

Thus P+%28k%2B+1%29 is true whenever P+%28k%29 is true.
Hence, by the Principle of Mathematical Induction P%28n%29 is true for all natural number+n.