Question 1121318: The parabola has equation y^2 = 4ax , where a is a positive constant.
The point P(at^2, 2at) lies on C.
The point S is the focus of the parabola C. The point B lies on the positive x-axis and OB = 5OS, where O is the origin.
A circle has centre B and touches the parabola C at two distinct points Q and R. Given that t cannot be zero.
Find the coordinates of the points Q and R.
Answer by greenestamps(13200) (Show Source):
You can put this solution on YOUR website!
With the equation with a positive, the vertex is at the origin, the parabola opens to the right, and the focus S is (a,0). So point B is (5a,0).
The circle centered at B touches the parabola in two points, Q and R. The implication is that the circle is tangent to the parabola at those two points; it does not "pass through" the parabola, thus intersecting the parabola is 4 points.
A generic point on the parabola has coordinates (at^2,2at) where t is a parameter.
Let Q(at^2,2at) be the point in the first quadrant where the circle and parabola are tangent. By symmetry, point R will be (at^2,-2at).
To have the circle just touch the parabola at Q, we need to have radius BQ of the circle perpendicular to the tangent to the parabola at Q.
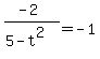
The slope of BQ is .
The slope of the tangent to the parabola at Q is found by evaluating the derivative at Q.
Implicit differentiation gives us
2yy' = 4a
y' = (4a)/(2y) = 2a/y
So the slope of the tangent to the parabola at Q is (2a)/(2at) = 1/t.
We need to have the product of the slopes equal to -1:





The coordinates of point Q are (at^2,2at) = (3a,2a*sqrt(3)).
So the coordinates of point R are (at^2,-2at) = (3a,-2a*sqrt(3)).
For the case a=1, B is (5,0) and Q is (3,2*sqrt(3)); the Pythagorean Theorem tells us the radius of the circle is 4.
Below is a graph of the positive branches of the two curves for the case a=1. The two graphs are and which graphs as 
The intersection of the two graphs is the point Q.

|
|
|