SOLUTION: https://vle.mathswatch.co.uk/images/questions/question2752.png please help me

Algebra ->  Test -> SOLUTION: https://vle.mathswatch.co.uk/images/questions/question2752.png please help me      Log On


   



Question 1118084: https://vle.mathswatch.co.uk/images/questions/question2752.png
please help me

Answer by math_helper(2461) About Me  (Show Source):
You can put this solution on YOUR website!
Since there is only one blue one:
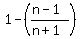
P(1 blue and 1 red) = 1 - P(both red) = +1+-+%28n%2F%28n%2B1%29%29%2A%28%28n-1%29%2F%28n%29%29+
= +1+-+%28%28n-1%29%2F%28n%2B1%29%29+
= ++%28n%2B1%29%2F%28n%2B1%29+-+%28n-1%29%2F%28n%2B1%29+
= +highlight%28+2%2F%28n%2B1%29+%29+
So, to sanity check this:
Say n=1: P(1 blue and 1 red) = 2/(1+1) = 1 (ok, we must get one of each)
If n=2: P(1 blue and 1 red) = 2/(2+1) = 2/3 (ok, b/c 1/3 of the time you'd expect two reds)
If n=100: P(1 blue and 1 red) = 2/(100+1) = 2/101 (seems ok, very unlikely to happen given all those reds, much more likely to get two reds)

To do part(b), set the equation above equal to 0.125 (= 1/8) then solve that equation for n.