SOLUTION: p=<3,5>;q=<2,4> Find the angle between the vectors to the nearest tenth of a degree. Select one: a. 4.4° b. 64.6° c. 5.4° d. 63.4°

Algebra ->  Test -> SOLUTION: p=<3,5>;q=<2,4> Find the angle between the vectors to the nearest tenth of a degree. Select one: a. 4.4° b. 64.6° c. 5.4° d. 63.4°      Log On


   



Question 1093419: p=<3,5>;q=<2,4>
Find the angle between the vectors to the nearest tenth of a degree.
Select one:
a. 4.4°
b. 64.6°
c. 5.4°
d. 63.4°

Answer by Fombitz(32388) About Me  (Show Source):
You can put this solution on YOUR website!
Use the dot product because,
p%2Aq=abs%28p%29abs%28q%29cos%28theta%29
and given,
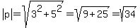
abs%28p%29=sqrt%283%5E2%2B5%5E2%29=sqrt%289%2B25%29=sqrt%2834%29
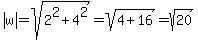
abs%28w%29=sqrt%282%5E2%2B4%5E2%29=sqrt%284%2B16%29=sqrt%2820%29
p%2Aq=3%2A2%2B5%2A4=6%2B20=26
So substituting,
26=sqrt%2834%29sqrt%2820%29cos%28theta%29
cos%28theta%29=26%2Fsqrt%28680%29
Solve for theta.