SOLUTION: Question: Identify the radius and center, if the graph of the equation is a circle then sketch it. Otherwise, specify if the graph is a single point (and what this point is), or ha

Algebra ->  Test -> SOLUTION: Question: Identify the radius and center, if the graph of the equation is a circle then sketch it. Otherwise, specify if the graph is a single point (and what this point is), or ha      Log On


   



Question 1085764: Question: Identify the radius and center, if the graph of the equation is a circle then sketch it. Otherwise, specify if the graph is a single point (and what this point is), or has no point at all.
1.8x²+8y²-28+12y+221=0
2.x²+y²-8x+6y+40=0
3.x²+y²+22x+18y+215=0
4.x²+y²-18x+12y+144=0

Answer by Fombitz(32388) About Me  (Show Source):
You can put this solution on YOUR website!
Complete the square to get the equation into the general equation of a circle.
%28x-h%29%5E2%2B%28y-k%29%5E2=R%5E2
I'll do one, you do the others in the same way.
.
.
8x%5E2%2B8y%5E2-28x%2B12y%2B221=0
I'll assume you made a mistake and that it's -28x and not -28.
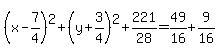
%28x%5E2-%287%2F2%29x%29%2B%28y%5E2%2B%283%2F2%29%29%2B221%2F28=0

%28x-7%2F4%29%5E2%2B%28y%2B3%2F4%29%5E2%2B221%2F28=49%2F16%2B9%2F16
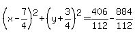
%28x-7%2F4%29%5E2%2B%28y%2B3%2F4%29%5E2=58%2F16-221%2F28
%28x-7%2F4%29%5E2%2B%28y%2B3%2F4%29%5E2=406%2F112-884%2F112
%28x-7%2F4%29%5E2%2B%28y%2B3%2F4%29%5E2=-478%2F112
Since the radius term is negative, there is no point at all.
.
.
.
If it equals zero, then the center is the single point.
If its positive, then the square root of the value is the radius of the circle.
.
.
Do the others the same way.