SOLUTION: Find the 3rd term in the expansion of the binomial. Thanks. (x - 2y)12 A.) 264x¹⁰y² B.) 1760x⁹y³ C.) -264x¹⁰y² D.) -1760x⁹y³

Algebra ->  Test -> SOLUTION: Find the 3rd term in the expansion of the binomial. Thanks. (x - 2y)12 A.) 264x¹⁰y² B.) 1760x⁹y³ C.) -264x¹⁰y² D.) -1760x⁹y³      Log On


   



Question 1081364: Find the 3rd term in the expansion of the binomial. Thanks.
(x - 2y)12
A.) 264x¹⁰y²
B.) 1760x⁹y³
C.) -264x¹⁰y²
D.) -1760x⁹y³

Answer by MathTherapy(10555) About Me  (Show Source):
You can put this solution on YOUR website!
Find the 3rd term in the expansion of the binomial. Thanks.
(x - 2y)12
A.) 264x¹⁰y²
B.) 1760x⁹y³
C.) -264x¹⁰y²
D.) -1760x⁹y³
%28x+-+2y%29%5E12
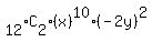
To find a SPECIFIC TERM of a binomial expansion, we use the formula: , where:
r = 3
n = 12
a = x
b = - 2y
We then get: 3rd term of =====> %22%22%5B12%5DC%5B2%5D%28x%29%5E10%28-+2y%29%5E2 ======>