SOLUTION: Use the given information to solve the triangle for A = 36°, B = 98°, c = 16

Algebra ->  Test -> SOLUTION: Use the given information to solve the triangle for A = 36°, B = 98°, c = 16       Log On


   



Question 1076513: Use the given information to solve the triangle for A = 36°, B = 98°, c = 16
Answer by Edwin McCravy(20081) About Me  (Show Source):
You can put this solution on YOUR website!
Same as question 1076218



We find the third angle C by the fact that the three angles
of any triangle must have sum 180°.

 A  +  B  + C = 180°
36° + 98° + C = 180°  
     134° + C = 180°
            C = 46°

So we fill in angle C as 46°

 

Next we use the law of sines:



We substitute what we know so far:

eq. 1:  

Using the 1st and 3rd expressions of eq. 1:

matrix%281%2C3%2Ca%2Fsin%28%2236%B0%22%29%2C%22%22=%22%22%2C16%2Fsin%28%2246%B0%22%29%29

Cross-multiply:

matrix%281%2C3%2Ca%2Asin%28%2246%B0%22%29%2C%22%22=%22%22%2C16%2Asin%28%2236%B0%22%29%29



Guess we'll just round that off to a = 13.1, and fill that in:

 


Using the 2nd and 3rd expressions of eq. 1:

matrix%281%2C3%2Cb%2Fsin%28%2298%B0%22%29%2C%22%22=%22%22%2C16%2Fsin%28%2246%B0%22%29%29

Cross-multiply:

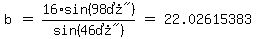
matrix%281%2C3%2Cb%2Asin%28%2246%B0%22%29%2C%22%22=%22%22%2C16%2Asin%28%2298%B0%22%29%29



Guess we'll just round that off to b = 22.0  and fill that in:



And now we're done.

Edwin