The red curve is the graph of the equation
The black line is the graph of the equation
Solve for y:
The slope of any line parallel to it has slope
and the equation of any line parallel to
has equation for some value of b
So we solve the system by substitution:
You do that and solve for x. I did it on paper, but I don't
feel like typing all the steps in. If you can't get it, tell
me in the thank-you note form below and I'll help you do it.
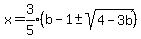
It involves the quadratic formula.
Here is what I got for the x values of the two solutions:
The line will be tangent to the curve if both solutions are
equal. We see that they will be equal if the square roots are
both 0.
So we set what's under the square root equal to 0:
So the equation of the line tangent to the curve parallel to
4x+3y=12
is
which in general form is
We draw it in green:
It turns out that the line is tangent at the point (1,0).
Edwin