SOLUTION: Differentiation Differentiate [(e^x)-e^(-x)]/(1+e^x)

Algebra ->  Test -> SOLUTION: Differentiation Differentiate [(e^x)-e^(-x)]/(1+e^x)      Log On


   



Question 1064364: Differentiation
Differentiate [(e^x)-e^(-x)]/(1+e^x)

Answer by Fombitz(32388) About Me  (Show Source):
You can put this solution on YOUR website!
Use the quotient rule.



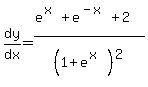
dy%2Fdx=%28e%5E%28x%29%2Be%5E%28-x%29%2B2%29%2F%281%2Be%5E%28x%29%29%5E2
dy%2Fdx=%28e%5E%28x%29%2Be%5E%28-x%29%2B2%29%2F%281%2Be%5E%28x%29%29%5E2
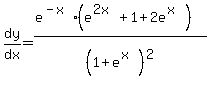
dy%2Fdx=%28e%5E%28-x%29%28e%5E%282x%29%2B1%2B2e%5E%28x%29%29%29%2F%281%2Be%5E%28x%29%29%5E2
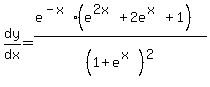
dy%2Fdx=%28e%5E%28-x%29%28e%5E%282x%29%2B2e%5E%28x%29%2B1%29%29%2F%281%2Be%5E%28x%29%29%5E2
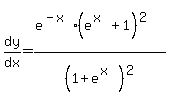
dy%2Fdx=%28e%5E%28-x%29%28e%5E%28x%29%2B1%29%5E2%29%2F%281%2Be%5E%28x%29%29%5E2
dy%2Fdx=e%5E%28-x%29