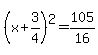
SOLUTION: 2x^2 + 3x - 12 = 0
Algebra
->
Test
-> SOLUTION: 2x^2 + 3x - 12 = 0
Log On
Test Calculators and Practice
Test
Answers archive
Answers
Word Problems
Word
Lessons
Lessons
Click here to see ALL problems on test
Question 1060356
:
2x^2 + 3x - 12 = 0
Answer by
Fombitz(32388)
(
Show Source
):
You can
put this solution on YOUR website!
Complete the square,