SOLUTION: there are three arithmetic means between a and b in an arithmetic sequence . the average of the arithmetic means is 6 . what is the average of a and b

Algebra ->  Test -> SOLUTION: there are three arithmetic means between a and b in an arithmetic sequence . the average of the arithmetic means is 6 . what is the average of a and b       Log On


   



Question 1039016: there are three arithmetic means between a and b in an arithmetic sequence . the average of the arithmetic means is 6 . what is the average of a and b

Answer by robertb(5830) About Me  (Show Source):
You can put this solution on YOUR website!
Let the arithmetic sequence be a,x,y,z,b. The common difference would then be %28b-a%29%2F4 (since there are four spaces between the numbers.)
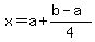
Hence x+=+a%2B%28b-a%29%2F4,
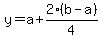
y+=+a%2B+2%2A%28b-a%29%2F4, and
z+=+a%2B+3%2A%28b-a%29%2F4.
==>
Therefore the average of a and b is 6.