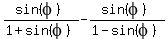
SOLUTION: I have to complete this identity: (sin Ø) / (1 + sin Ø)- (sin Ø) / (1 - sin Ø)=?
Algebra
->
Test
-> SOLUTION: I have to complete this identity: (sin Ø) / (1 + sin Ø)- (sin Ø) / (1 - sin Ø)=?
Log On
Test Calculators and Practice
Test
Answers archive
Answers
Word Problems
Word
Lessons
Lessons
Click here to see ALL problems on test
Question 1035761
:
I have to complete this identity: (sin Ø) / (1 + sin Ø)- (sin Ø) / (1 - sin Ø)=?
Answer by
fractalier(6550)
(
Show Source
):
You can
put this solution on YOUR website!
Combining fractions we get
=
=