SOLUTION: Please help me with this problem: Let R be the region bounded by the y axis and the graph of x = 1 - {{{y^2}}}. Use y as the variable of integration to write a definite integral

Algebra ->  Test -> SOLUTION: Please help me with this problem: Let R be the region bounded by the y axis and the graph of x = 1 - {{{y^2}}}. Use y as the variable of integration to write a definite integral       Log On


   



Question 1033079: Please help me with this problem:
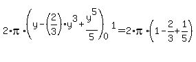
Let R be the region bounded by the y axis and the graph of x = 1 - y%5E2. Use y as the variable of integration to write a definite integral whose value equals the volume of the solid formed when R is revolved about the y axis.

Answer by robertb(5830) About Me  (Show Source):