SOLUTION: The number of opera companies in the united states decreased from 97 in 1985 to to 89 in 1998 what percent is the decrease?
Algebra
->
Percentages: Solvers, Trainers, Word Problems and pie charts
-> SOLUTION: The number of opera companies in the united states decreased from 97 in 1985 to to 89 in 1998 what percent is the decrease?
Log On
Algebra: Percentage and Pie Charts
Section
Solvers
Solvers
Lessons
Lessons
Answers archive
Answers
Click here to see ALL problems on percentage
Question 379360
:
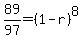
The number of opera companies in the united states decreased from 97 in 1985 to to 89 in 1998 what percent is the decrease?
Answer by
robertb(5830)
(
Show Source
):
You can
put this solution on YOUR website!
. We have to solve for r.
,
, or
. Then r = 0.0107, or 1.07%.