SOLUTION: if $1,000 is invested at an interest rate of 10% per year, compounded monthly, find the amount of the investment at the end of 4 years

Algebra ->  Percentages: Solvers, Trainers, Word Problems and pie charts -> SOLUTION: if $1,000 is invested at an interest rate of 10% per year, compounded monthly, find the amount of the investment at the end of 4 years      Log On


   



Question 1162443: if $1,000 is invested at an interest rate of 10% per year, compounded monthly, find the amount of the investment at the end of 4 years
Answer by greenestamps(13216) About Me  (Show Source):
You can put this solution on YOUR website!


A+=+P%281%2Br%29%5En

A = future value
P = beginning principal
r = periodic interest rate
n = number of compounding periods

A is what we need to find
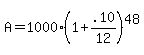
P is $1000
r is 1/12 of 10% (1/12 of 0.10), since the period is monthly
n is 4*12 = 48, the number of months (periods) in 4 years

A+=+1000%281%2B.10%2F12%29%5E48

Use a calculator....