SOLUTION: The volume of a sphere is increased by 72.8%. What is the percentage increase in the radius?
Algebra
->
Percentages: Solvers, Trainers, Word Problems and pie charts
-> SOLUTION: The volume of a sphere is increased by 72.8%. What is the percentage increase in the radius?
Log On
Algebra: Percentage and Pie Charts
Section
Solvers
Solvers
Lessons
Lessons
Answers archive
Answers
Click here to see ALL problems on percentage
Question 1146043
:
The volume of a sphere is increased by 72.8%. What is the percentage increase in the radius?
Answer by
greenestamps(13200)
(
Show Source
):
You can
put this solution on YOUR website!
The volume of a sphere is proportional to the cube of the radius.
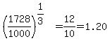
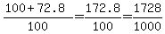
An increase of 72.8% in the volume means the ratio of the new and old volumes is
The ratio of the volumes is the cube of the ratio of the radii, so the ratio of the radii is the cube root of the ratio of the volumes:
So the percent increase in the radius is 20%.