SOLUTION: If you had 10 records last year and you have 14 what is the percent increase
Algebra
->
Percentages: Solvers, Trainers, Word Problems and pie charts
-> SOLUTION: If you had 10 records last year and you have 14 what is the percent increase
Log On
Algebra: Percentage and Pie Charts
Section
Solvers
Solvers
Lessons
Lessons
Answers archive
Answers
Click here to see ALL problems on percentage
Question 1057104
:
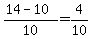
If you had 10 records last year and you have 14 what is the percent increase
Answer by
josmiceli(19441)
(
Show Source
):
You can
put this solution on YOUR website!
40% increase