SOLUTION: A principal of $5600.00 was deposited for 3years at compound interest. If the interest earned was $1200.00,find the interest rate per annum
THANK YOU
Question 1046800: A principal of $5600.00 was deposited for 3years at compound interest. If the interest earned was $1200.00,find the interest rate per annum
THANK YOU Answer by josmiceli(19441) (Show Source):
You can put this solution on YOUR website!
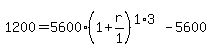
Let = the interest earned
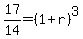
given: ( I'm assuming this )
-------------------------------
The interest earned, is:
Take the log base 10 of both sides
the annual interest rate is 6.69%
------------------
check my math & get a 2nd opinion