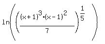
SOLUTION: Write as the logarithm of a single quantity: 1/5(3In(x+1)+2In(x-1)-In7)
Algebra
->
Logarithm Solvers, Trainers and Word Problems
-> SOLUTION: Write as the logarithm of a single quantity: 1/5(3In(x+1)+2In(x-1)-In7)
Log On
Algebra: Logarithm
Section
Solvers
Solvers
Lessons
Lessons
Answers archive
Answers
Click here to see ALL problems on logarithm
Question 990459
:
Write as the logarithm of a single quantity:
1/5(3In(x+1)+2In(x-1)-In7)
Answer by
ikleyn(52814)
(
Show Source
):
You can
put this solution on YOUR website!
.
Write it step by step:
=
=
=
And one important note: when you operate with the logarithm, use ln as the symbol (not In).