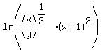
SOLUTION: Write as a single logarithm: 1/3 (ln x – ln y)+2ln(x+1)
Algebra
->
Logarithm Solvers, Trainers and Word Problems
-> SOLUTION: Write as a single logarithm: 1/3 (ln x – ln y)+2ln(x+1)
Log On
Algebra: Logarithm
Section
Solvers
Solvers
Lessons
Lessons
Answers archive
Answers
Click here to see ALL problems on logarithm
Question 985197
:
Write as a single logarithm: 1/3 (ln x – ln y)+2ln(x+1)
Answer by
MathLover1(20850)
(
Show Source
):
You can
put this solution on YOUR website!