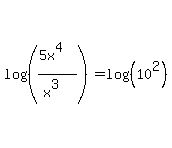
SOLUTION: If log 5x4 − 3 log x = 2 log 10, then x = ?
Algebra
->
Logarithm Solvers, Trainers and Word Problems
-> SOLUTION: If log 5x4 − 3 log x = 2 log 10, then x = ?
Log On
Algebra: Logarithm
Section
Solvers
Solvers
Lessons
Lessons
Answers archive
Answers
Click here to see ALL problems on logarithm
Question 984806
:
If log 5x4 − 3 log x = 2 log 10, then x = ?
Answer by
Fombitz(32388)
(
Show Source
):
You can
put this solution on YOUR website!