SOLUTION: I need help with this problem? The equation of a hyperbola is {{{4y^2 - x^2 + 8y - 6x - 41 = 0.}}} Write the equation of the hyperbola in standard form and find the coordinates of

Algebra ->  Logarithm Solvers, Trainers and Word Problems -> SOLUTION: I need help with this problem? The equation of a hyperbola is {{{4y^2 - x^2 + 8y - 6x - 41 = 0.}}} Write the equation of the hyperbola in standard form and find the coordinates of       Log On


   



Question 982534: I need help with this problem? The equation of a hyperbola is 4y%5E2+-+x%5E2+%2B+8y+-+6x+-+41+=+0. Write the equation of the hyperbola in standard form and find the coordinates of the center, the coordinates of the vertices, and the equation of the asymptotes. Then graph the hyperbola.
Answer by MathLover1(20850) About Me  (Show Source):
You can put this solution on YOUR website!
4y%5E2+-+x%5E2+%2B+8y+-+6x+-+41+=+0

%284y%5E2+%2B+8y%29-+%28x%5E2+%2B+6x%29+-41+=+0....complete square

4%28y%5E2+%2B+2y%2Bb%5E2%29-4b%5E2+-%28x%5E2+%2B+6x%2Bb%5E2%29-%28-b%5E2%29+-41+=+0

4%28y%5E2+%2B+2y%2B1%5E2%29-4%2A1%5E2+-%28x%5E2+%2B+6x%2B3%5E2%29%2B3%5E2+-41+=+0

4%28y+%2B+1%29%5E2-4+-%28x+%2B+3%29%5E2%2B9+-41+=+0

4%28y+%2B+1%29%5E2-+%28x+%2B+3%29%5E2+-36+=+0

4%28y+%2B+1%29%5E2-+%28x+%2B+3%29%5E2+=36+
4%28y+%2B+1%29%5E2%2F36+-+%28x+%2B+3%29%5E2%2F36=36%2F36+

%28y+%2B+1%29%5E2%2F9-+%28x+%2B+3%29%5E2%2F36=1+
%28y+%2B+1%29%5E2%2F3%5E2-+%28x+%2B+3%29%5E2%2F6%5E2=1+
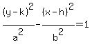
The standard form of an hyperbola with the transverse axis being vertical.
%28+y+-+k+%29%5E2%2Fa%5E2+-+%28+x+-+h+%29%5E2%2Fb%5E2+=+1
The center of the hyperbola is at the point ( h,k) or (-3,-1)
a=3 and b=6, so
semimajor axis length 3
semiminor axis length +6
The foci are c units from the center of the hyperbola and is calculated from c%5E2+=+a%5E2+%2B+b%5E2.
c%5E2+=+9+%2B+36+=45=>c+=+sqrt+%2845%29=sqrt+%289%2A5%29=>c=3sqrt%285%29
The foci are therefore, ( h, k%2Bc ) or ( h, k-c )
or (-3,+-1-3sqrt%285%29) and (-3, (-1%2B3sqrt%285%29)
=>(-3,+-7.7) and (-3, 5.7)
The vertices are a units from the center of the hyperbola, ( h, k+%2Ba ) and ( h, k+-a )
or ( -3, -4 ) and ( -3, 2 )

asymptotes:
y+=+-x%2F2-5%2F2+
+y+=+x%2F2%2B1%2F2