SOLUTION: Condense the logarithm Problem : 1/6(log5 x + log5 y)-2 log5 (x+3) I condensed the first part down to log5 (xy) inside the 6th square root but can't figure out the bottom

Algebra ->  Logarithm Solvers, Trainers and Word Problems -> SOLUTION: Condense the logarithm Problem : 1/6(log5 x + log5 y)-2 log5 (x+3) I condensed the first part down to log5 (xy) inside the 6th square root but can't figure out the bottom       Log On


   



Question 982418: Condense the logarithm Problem : 1/6(log5 x + log5 y)-2 log5 (x+3)
I condensed the first part down to log5 (xy) inside the 6th square root but can't figure out the bottom

Answer by josgarithmetic(39621) About Me  (Show Source):
You can put this solution on YOUR website!
Not sure "the bottom";

Understanding the base is 5,
1%2F6%28log%28%28x%29%29%2Blog%28%28y%29%29%29-2log%28%28x%2B3%29%29

1%2F6log%28%28xy%29%29-2log%28%28x%2B3%29%29

1%2Flog%28%28%28xy%29%5E6%29%29-2log%28%28x%2B3%29%29

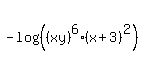
-log%28%28%28xy%29%5E6%29%29-log%28%28%28x%2B3%29%5E2%29%29

-1%28log%28%28%28xy%29%5E6%29%29%2Blog%28%28%28x%2B3%29%5E2%29%29%29%29

%28-1%29log%28%28%28xy%29%5E6%2A%28x%2B3%29%5E2%29%29

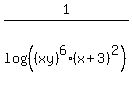
-log%28%28%28xy%29%5E6%2A%28x%2B3%29%5E2%29%29-------or could show in corresponding 1%2Flog%28%28%28xy%29%5E6%2A%28x%2B3%29%5E2%29%29