SOLUTION: Condense this logarithm 3/2[ln(x^2+1)-ln(x+1)-ln(x-1)]

Algebra ->  Logarithm Solvers, Trainers and Word Problems -> SOLUTION: Condense this logarithm 3/2[ln(x^2+1)-ln(x+1)-ln(x-1)]      Log On


   



Question 979726: Condense this logarithm
3/2[ln(x^2+1)-ln(x+1)-ln(x-1)]

Answer by Edwin McCravy(20056) About Me  (Show Source):
You can put this solution on YOUR website!
expr%283%2F2%29%28ln%28x%5E2%2B1%29%5E%22%22-ln%28x%2B1%29-ln%28x-1%29%29

Factor a -1 out of the last two natural logs

expr%283%2F2%29%28ln%28x%5E2%2B1%29%5E%22%22-%28ln%28x%2B1%29%5E%22%22%2Bln%28x-1%29%29%29

Write the sum of logs as the log of a product:

expr%283%2F2%29%28ln%28x%5E2%2B1%29%5E%22%22-ln%28%28x%2B1%29%5E%22%22%28x-1%29%29%29

Write the difference of logs as the log of a quotient:

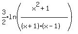
expr%283%2F2%29ln%28%28x%5E2%2B1%29%2F%28%28x%2B1%29%5E%22%22%28x-1%29%29%29

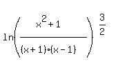
Finally we write the coefficient of the log as an exponent
of what the log is taken of

ln%28%28x%5E2%2B1%29%2F%28%28x%2B1%29%5E%22%22%28x-1%29%29%29%5E%283%2F2%29

Edwin