SOLUTION: This exercise uses the population growth model. The population of a certain city was 124,000 in 2006, and the observed doubling time for the population is 17 years. (a) Find a

Algebra ->  Logarithm Solvers, Trainers and Word Problems -> SOLUTION: This exercise uses the population growth model. The population of a certain city was 124,000 in 2006, and the observed doubling time for the population is 17 years. (a) Find a      Log On


   



Question 979498: This exercise uses the population growth model.
The population of a certain city was 124,000 in 2006, and the observed doubling time for the population is 17 years.
(a) Find an exponential model
n(t) = n0^2t/a
for the population t years after 2006.
n(t)=
b.Find an exponential model
n(t) = n0^ert
for the population t years after 2006. (Round your r value to four decimal places.)
n(t) =

Answer by josgarithmetic(39620) About Me  (Show Source):
You can put this solution on YOUR website!
The basic equation should be n%28t%29=n%5Bo%5De%5E%28rt%29.

Doubling time of 17 years,
ln%28n%28t%29%29=ln%28n%5Bo%5D%29%2Br%2At
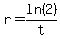
ln%282%29=ln%281%29%2Brt
ln%282%29=rt
r=ln%282%29%2Ft
highlight_green%28r=ln%282%29%2F17%29-----Evaluate or compute this value and use in the model.