SOLUTION: Evaluate: (i). {{{ e^(-2ln(1/3)) }}} (ii). {{{ log_4(2^(-15))+log((.001)) }}} Thanks

Algebra ->  Logarithm Solvers, Trainers and Word Problems -> SOLUTION: Evaluate: (i). {{{ e^(-2ln(1/3)) }}} (ii). {{{ log_4(2^(-15))+log((.001)) }}} Thanks      Log On


   



Question 969213: Evaluate:
(i). +e%5E%28-2ln%281%2F3%29%29+
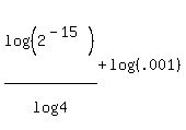
(ii). +log_4%282%5E%28-15%29%29%2Blog%28%28.001%29%29+
Thanks

Answer by lwsshak3(11628) About Me  (Show Source):
You can put this solution on YOUR website!
Evaluate:
(i). +e%5E%28-2ln%281%2F3%29%29+
+e%5E%28-2ln%281%2F3%29%29=+1%2F+e%5E%282ln%281%2F3%29%29=+1%2F+e%5E%282ln%281%2F3%29%29=9
..
(ii). +log_4%282%5E%28-15%29%29%2Blog%28%28.001%29%29+
+log%28%282%5E%28-15%29%29%29%2Flog%284%29%2Blog%28%28.001%29%29+
(-15log2/log4)-3=-10.5