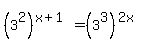
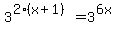
SOLUTION: 9^x+1=27^2x I am having a hard time getting the right answet becasue when I solve it I get -1/2 but my teacher saids the right answer is 1/2 with out the negative sign

Algebra ->  Logarithm Solvers, Trainers and Word Problems -> SOLUTION: 9^x+1=27^2x I am having a hard time getting the right answet becasue when I solve it I get -1/2 but my teacher saids the right answer is 1/2 with out the negative sign      Log On


   



Question 968263: 9^x+1=27^2x I am having a hard time getting the right answet becasue when I solve it I get -1/2 but my teacher saids the right answer is 1/2 with out the negative sign
Answer by Fombitz(32388) About Me  (Show Source):