SOLUTION: Hello, can someone please please help me solve this? Let g( x)=log4 (x )+1 , determine the inverse of g( x) and sketch both graphs.

Algebra ->  Logarithm Solvers, Trainers and Word Problems -> SOLUTION: Hello, can someone please please help me solve this? Let g( x)=log4 (x )+1 , determine the inverse of g( x) and sketch both graphs.      Log On


   



Question 963337: Hello, can someone please please help me solve this?
Let g( x)=log4
(x )+1 , determine the inverse of g( x) and sketch both
graphs.

Answer by Fombitz(32388) About Me  (Show Source):
You can put this solution on YOUR website!
y=log%284%2C%28x%29%29%2B1
To find the inverse, interchange x and y and solve for y, that's the inverse.
x=log%284%2C%28y%29%29%2B1
x-1=log%284%2C%28y%29%29
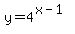
y=4%5E%28x-1%29
g%5E%28-1%29%28x%29=4%5E%28x-1%29
.
.
.
.