SOLUTION: 4 log (x+1) base 3 = 12

Algebra ->  Logarithm Solvers, Trainers and Word Problems -> SOLUTION: 4 log (x+1) base 3 = 12      Log On


   



Question 955006: 4 log (x+1) base 3 = 12
Answer by MathLover1(20850) About Me  (Show Source):
You can put this solution on YOUR website!
4log%283%2C+%28x%2B1%29%29+=+12

log%283%2C+%28x%2B1%29%29+=+12%2F4

log%283%2C+%28x%2B1%29%29+=+3...change to base 10

log%28%28x%2B1%29%29%2Flog%283%29+=+3

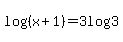
log%28%28x%2B1%29%29=+3log%283%29+

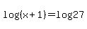
log%28%28x%2B1%29%29=+log%283%5E3%29+

log%28%28x%2B1%29%29=+log%2827%29+.............if log same, then

x%2B1=27+

x=27-1+

x=26+