SOLUTION: How do i condense: 3 log x + 1/2 log y - log 8 - 2 log 3z Thank You!
Algebra
->
Logarithm Solvers, Trainers and Word Problems
-> SOLUTION: How do i condense: 3 log x + 1/2 log y - log 8 - 2 log 3z Thank You!
Log On
Algebra: Logarithm
Section
Solvers
Solvers
Lessons
Lessons
Answers archive
Answers
Click here to see ALL problems on logarithm
Question 948050
:
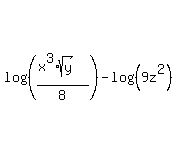
How do i condense:
3 log x + 1/2 log y - log 8 - 2 log 3z
Thank You!
Found 2 solutions by
lwsshak3, MathLover1
:
Answer by
lwsshak3(11628)
(
Show Source
):
You can
put this solution on YOUR website!
How do i condense:
3 log x + 1/2 log y - log 8 - 2 log 3z
***
Answer by
MathLover1(20850)
(
Show Source
):
You can
put this solution on YOUR website!