SOLUTION: log of (x-1)^2 to the base 3=2

Algebra ->  Logarithm Solvers, Trainers and Word Problems -> SOLUTION: log of (x-1)^2 to the base 3=2      Log On


   



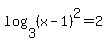
Question 942957: log of (x-1)^2 to the base 3=2
Answer by MathLover1(20850) About Me  (Show Source):
You can put this solution on YOUR website!

log%283%2C%28x-1%29%5E2+%29=2...change to base 10

log%28%28x-1%29%5E2+%29%2Flog%283%29=2

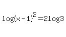
log%28%28x-1%29%5E2+%29=2log%283%29

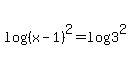
log%28%28x-1%29%5E2+%29=log%283%5E2%29...if log same, then

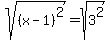
%28x-1%29%5E2+=3%5E2....take square root of both sides

sqrt%28%28x-1%29%5E2%29+=sqrt%283%5E2%29

x-1+=3 or x-1+=-3

if x-1+=3, then
x+=3%2B1

x+=4


if x-1+=-3, then
x+=-3%2B1

x+=-2