SOLUTION: Solve 2log(x-1)= log(x+1)

Algebra ->  Logarithm Solvers, Trainers and Word Problems -> SOLUTION: Solve 2log(x-1)= log(x+1)      Log On


   



Question 937829: Solve 2log(x-1)= log(x+1)
Answer by MathLover1(20850) About Me  (Show Source):
You can put this solution on YOUR website!
+2log%28%28x-1%29%29=+log%28%28x%2B1%29%29
+log%28%28x-1%29%5E2%29=+log%28%28x%2B1%29%29 if log same, we have
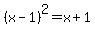
%28x-1%29%5E2=+x%2B1 ...solve for x
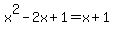
x%5E2-2x%2B1=+x%2B1
x%5E2-2x%2B1-x-1=0
x%5E2-3x=0
x%28x-3%29=0
solutions:
x=0 and x=3
since you are given +2log%28%28x-1%29%29 we cannot use solution x=0 because we get +2log%28%280-1%29%29=2log%28%28-1%29%29 and log%2810%2C%28-1%29%29 is undefined
so, your answer is x=3