SOLUTION: solve 2^x=3^(x-1)
Algebra
->
Logarithm Solvers, Trainers and Word Problems
-> SOLUTION: solve 2^x=3^(x-1)
Log On
Algebra: Logarithm
Section
Solvers
Solvers
Lessons
Lessons
Answers archive
Answers
Click here to see ALL problems on logarithm
Question 936277
:
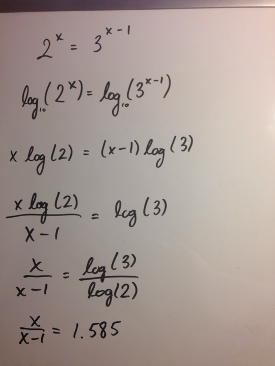
solve 2^x=3^(x-1)
Found 2 solutions by
stanbon, brysca
:
Answer by
stanbon(75887)
(
Show Source
):
You can
put this solution on YOUR website!
solve 2^x=3^(x-1)
-------------
Take the log of both sides::
x*log(2) = (x-1)*log(3)
---------------
x[log(2)-log(3)] = -log(3)
----
x = log(3)/log(2/3)
---
x = -2.71
----------------
Cheers,
Stan H
Answer by
brysca(112)
(
Show Source
):
You can
put this solution on YOUR website!
solution posted below, take note that I rounded off the answer as well.
.
.
hope this helps!