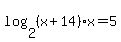
SOLUTION: Log(base 2) (x+14)+log(base 2)x=5

Algebra ->  Logarithm Solvers, Trainers and Word Problems -> SOLUTION: Log(base 2) (x+14)+log(base 2)x=5      Log On


   



Question 933453: Log(base 2) (x+14)+log(base 2)x=5
Answer by MathLover1(20850) About Me  (Show Source):
You can put this solution on YOUR website!
log%282%2C%28x%2B14%29%29%2Blog%282%2Cx%29=5
log%282%2C%28%28x%2B14%29%2Ax%29%29=5
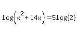
log%282%2C%28x%5E2%2B14x%29%29=5...in base 10
log%28%28x%5E2%2B14x%29%29%2Flog%28%282%29%29=5
log%28%28x%5E2%2B14x%29%29=5log%28%282%29%29
log%28%28x%5E2%2B14x%29%29=log%28%282%5E5%29%29
log%28%28x%5E2%2B14x%29%29=log%28%2832%29%29...since log same, then
x%5E2%2B14x=32...solve for x
x%5E2%2B14x-32=0...write 14x as -2x%2B16x
x%5E2-2x%2B16x-32=0...group
%28x%5E2-2x%29%2B%2816x-32%29=0
x%28x-2%29%2B16%28x-2%29=0
%28x-2%29%28x%2B16%29+=+0
solutions:
if %28x-2%29+=+0 then x=2
if %28x%2B16%29+=+0 then x=-16...we cannot use this solution
so, your solution is: highlight%28x=2%29