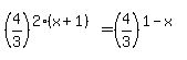
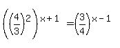
SOLUTION: (16/9)^(x+1)=(3/4)^(x-1)
Algebra
->
Logarithm Solvers, Trainers and Word Problems
-> SOLUTION: (16/9)^(x+1)=(3/4)^(x-1)
Log On
Algebra: Logarithm
Section
Solvers
Solvers
Lessons
Lessons
Answers archive
Answers
Click here to see ALL problems on logarithm
Question 928204
:
(16/9)^(x+1)=(3/4)^(x-1)
Answer by
Fombitz(32388)
(
Show Source
):
You can
put this solution on YOUR website!