3^(2x-1) = 5^(x+4)
^ = to the power of

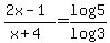
------- Taking logs of both sides



----- Cross-multiplying
2x 1 = 1.464974x + 5.85989
2x 1.464974x = 5.85989 + 1
.535026x = 6.85989
, or 
You can do the check!!
===================
Send comments, thank-yous, and inquiries to D at MathMadEzy@aol.com.
Further help is available, online or in-person, for a fee, obviously.
For FREE info and answers to questions about the ASVAB exam, the NYS 3 8 city/state wide exams,GENERAL
MATH and HOMEWORK QUESTIONS, or MATH QUESTIONS related to the Regents Integrated Algebra,
Regents Geometry, Regents Algebra 2/Trigonometry, SHSAT, COOP/HSPT/TACHS, PSAT, SAT, ACT, SSAT/ISEE,
GRE, CLEP, and the TASC/GED, you can visit: http://asvabstudyzone.freeforums.net/.