SOLUTION: log base1/3(x+1)-log base9(x)=-1 . Solve for x by using change of base and check.
Algebra
->
Logarithm Solvers, Trainers and Word Problems
-> SOLUTION: log base1/3(x+1)-log base9(x)=-1 . Solve for x by using change of base and check.
Log On
Algebra: Logarithm
Section
Solvers
Solvers
Lessons
Lessons
Answers archive
Answers
Click here to see ALL problems on logarithm
Question 923728
:
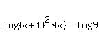
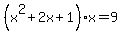
log base1/3(x+1)-log base9(x)=-1 . Solve for x by using change of base and check.
Answer by
MathLover1(20850)
(
Show Source
):
You can
put this solution on YOUR website!
roots: =>
,
and
Roots were found using cubic formulas.