Quadratic equation (in our case ) has the following solutons:

For these solutions to exist, the discriminant should not be a negative number.
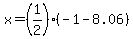
First, we need to compute the discriminant : .
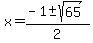
Discriminant d=65 is greater than zero. That means that there are two solutions: .


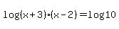
Quadratic expression can be factored:

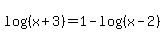
Again, the answer is: 3.53112887414927, -4.53112887414927.
Here's your graph:
 |