SOLUTION: 16^x+4^x+1-3=0

Algebra ->  Logarithm Solvers, Trainers and Word Problems -> SOLUTION: 16^x+4^x+1-3=0      Log On


   



Question 917848: 16^x+4^x+1-3=0
Answer by Fombitz(32388) About Me  (Show Source):
You can put this solution on YOUR website!
This is a quadratic equation in disguise.
Use a substitution,
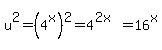
u=4%5Ex
u%5E2=%284%5Ex%29%5E2=4%5E%282x%29=16%5Ex
So then,
u%5E2%2Bu%2B1-3=0
u%5E2%2Bu-2=0
%28u%2B2%29%28u-1%29=0
Two "u" solutions:
u%2B2=0
u=-2
4%5Ex=-2
No solutions in x here.
u-1=0
u=1
4%5Ex=1
highlight%28x=0%29