SOLUTION: log(base 4) (x+13) - log(base 4)(x-8) = 1 I know the answer is 15 but why in the beginning does it not combine? like log(base 4) ((x+13)(x-8)) Please explain Thanks

Algebra ->  Logarithm Solvers, Trainers and Word Problems -> SOLUTION: log(base 4) (x+13) - log(base 4)(x-8) = 1 I know the answer is 15 but why in the beginning does it not combine? like log(base 4) ((x+13)(x-8)) Please explain Thanks      Log On


   



Question 916637: log(base 4) (x+13) - log(base 4)(x-8) = 1
I know the answer is 15 but why in the beginning does it not combine? like log(base 4) ((x+13)(x-8))
Please explain
Thanks

Answer by ewatrrr(24785) About Me  (Show Source):
You can put this solution on YOUR website!
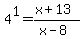
log%284%2C+%28%28x%2B13%29%2F%28x-8%29%29%29+ = 1

4%5E1+=+%28x%2B13%29%2F%28x-8%29+
4(x-8) = x+13
4x - 32 = x+13
3x= 45
x = 15