SOLUTION: #1. Find domain of logarithm and solution to equation: log(base 4) (x + 9) − log(base 4) (x − 9) = 3 #2. Rewrite the equation so it contains no logarithms: log

Algebra ->  Logarithm Solvers, Trainers and Word Problems -> SOLUTION: #1. Find domain of logarithm and solution to equation: log(base 4) (x + 9) − log(base 4) (x − 9) = 3 #2. Rewrite the equation so it contains no logarithms: log      Log On


   



Question 914780: #1. Find domain of logarithm and solution to equation: log(base 4) (x + 9) − log(base 4) (x − 9) = 3


#2. Rewrite the equation so it contains no logarithms:
log(base 5) (x + 5) + log(base 5) (x − 5) = 2 .
What would the domain be?
What would the smaller and larger values of the equation be?

Thank you

Answer by josgarithmetic(39620) About Me  (Show Source):
You can put this solution on YOUR website!
Number 1:

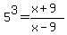
log%285%2C%28x%2B9%29%2F%28x-9%29%29=3

The equation has domain x%3C9 and x%3E9.

5%5E3=%28x%2B9%29%2F%28x-9%29, this will be a linear equation in the one variable, x. No matter what you find, x%3C%3E9.