SOLUTION: Solve for x ,show working and solve 3log base 2 of (x+1)-2=13 Thank you!

Algebra ->  Logarithm Solvers, Trainers and Word Problems -> SOLUTION: Solve for x ,show working and solve 3log base 2 of (x+1)-2=13 Thank you!      Log On


   



Question 914522: Solve for x ,show working and solve 3log base 2 of (x+1)-2=13
Thank you!

Answer by Alan3354(69443) About Me  (Show Source):
You can put this solution on YOUR website!
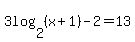
3log base 2 of (x+1)-2=13
3log%282%2C%28x%2B1%29%29+-+2=13
3log%282%2C%28x%2B1%29%29+=+15
log%282%2C%28x%2B1%29%29+=+5
2%5E5+=+32
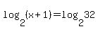
log%282%2C%28x%2B1%29%29+=+log%282%2C32%29
x+1 = 32
x = 31