SOLUTION: what values of x could not possibly be solutions of the following equation? loga(4x-7)+loga(x^2+4)=0

Algebra ->  Logarithm Solvers, Trainers and Word Problems -> SOLUTION: what values of x could not possibly be solutions of the following equation? loga(4x-7)+loga(x^2+4)=0      Log On


   



Question 910203: what values of x could not possibly be solutions of the following equation?
loga(4x-7)+loga(x^2+4)=0

Answer by josgarithmetic(39620) About Me  (Show Source):
You can put this solution on YOUR website!
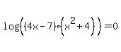
log%28%284x-7%29%29%2Blog%28%28x%5E2%2B4%29%29=0, the base is "a".

log%28%28%284x-7%29%28x%5E2%2B4%29%29%29=0

a%5E0=%284x-7%29%28x%5E2%2B4%29

1=%284x-7%29%28x%5E2%2B4%29
You would want to simplify this and use Rational Roots Theorem if you want the SOLUTIONS for the equation. Could a value for x for which 4x-7%3C0 be acceptable in this equation? I believe not. You usually find logarithms of POSITIVE numbers of 0.