SOLUTION: evaluate [(1/root 27)power 2 - {(log 13 base 5)/(2 log 9 base 5)}]power 1/2

Algebra ->  Logarithm Solvers, Trainers and Word Problems -> SOLUTION: evaluate [(1/root 27)power 2 - {(log 13 base 5)/(2 log 9 base 5)}]power 1/2      Log On


   



Question 882893: evaluate [(1/root 27)power 2 - {(log 13 base 5)/(2 log 9 base 5)}]power 1/2
Answer by lwsshak3(11628) About Me  (Show Source):
You can put this solution on YOUR website!
evaluate [(1/root 27)power 2 - {(log 13 base 5)/(2 log 9 base 5)}]power 1/2
***
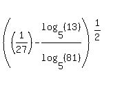
%28%281%2Fsqrt%2827%29%29%5E2-log%285%2C%2813%29%29%2F2log%285%2C%289%29%29%29%5E%281%2F2%29
%28%281%2F27%29-log%285%2C%2813%29%29%2Flog%285%2C%2881%29%29%29%5E%281%2F2%29
no solution:can't take sqrt of negative expression