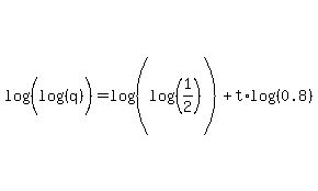
SOLUTION: After t years, the annual sales in hundreds of thousands of units of a product q is given by {{{q=(1/2)^(0.8)^t}}}
a) find the annual sales of the product after 7 years?
b)
Algebra ->
Logarithm Solvers, Trainers and Word Problems
-> SOLUTION: After t years, the annual sales in hundreds of thousands of units of a product q is given by {{{q=(1/2)^(0.8)^t}}}
a) find the annual sales of the product after 7 years?
b)
Log On
Question 878587: After t years, the annual sales in hundreds of thousands of units of a product q is given by
a) find the annual sales of the product after 7 years?
b) After how many years will the annual sales be 64 171 units?
Someone gave me this equation to work with, but I'm still a tad bit confused... Answer by Fombitz(32388) (Show Source):
You can put this solution on YOUR website! Something is wrong with your equation.
After 1 year you make 390 units.
After 2 years you make 0 units.
Please check and repost.