SOLUTION: rewrite the expression 2log(x+4)+4log(x-3)-1/2log(x+2) as a sinlge logarithm
Algebra
->
Logarithm Solvers, Trainers and Word Problems
-> SOLUTION: rewrite the expression 2log(x+4)+4log(x-3)-1/2log(x+2) as a sinlge logarithm
Log On
Algebra: Logarithm
Section
Solvers
Solvers
Lessons
Lessons
Answers archive
Answers
Click here to see ALL problems on logarithm
Question 877972
:
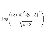
rewrite the expression
2log(x+4)+4log(x-3)-1/2log(x+2)
as a sinlge logarithm
Answer by
lwsshak3(11628)
(
Show Source
):
You can
put this solution on YOUR website!
rewrite the expression
2log(x+4)+4log(x-3)-1/2log(x+2)
as a single logarithm