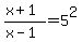
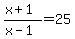
SOLUTION: log5(x+1)-log5(x-1)=2
Algebra
->
Logarithm Solvers, Trainers and Word Problems
-> SOLUTION: log5(x+1)-log5(x-1)=2
Log On
Algebra: Logarithm
Section
Solvers
Solvers
Lessons
Lessons
Answers archive
Answers
Click here to see ALL problems on logarithm
Question 877640
:
log5(x+1)-log5(x-1)=2
Answer by
jim_thompson5910(35256)
(
Show Source
):
You can
put this solution on YOUR website!