SOLUTION: An investment with interest compounded continuously doubled itself in 10 years. What is the interest rate?
Algebra
->
Logarithm Solvers, Trainers and Word Problems
-> SOLUTION: An investment with interest compounded continuously doubled itself in 10 years. What is the interest rate?
Log On
Algebra: Logarithm
Section
Solvers
Solvers
Lessons
Lessons
Answers archive
Answers
Click here to see ALL problems on logarithm
Question 875803
:
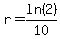
An investment with interest compounded continuously doubled itself in 10 years. What is the interest rate?
Answer by
josgarithmetic(39618)
(
Show Source
):
You can
put this solution on YOUR website!
r= 6.93 %