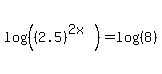
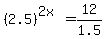
SOLUTION: 1.5 * (2.5)^2x = 12
Algebra
->
Logarithm Solvers, Trainers and Word Problems
-> SOLUTION: 1.5 * (2.5)^2x = 12
Log On
Algebra: Logarithm
Section
Solvers
Solvers
Lessons
Lessons
Answers archive
Answers
Click here to see ALL problems on logarithm
Question 874583
:
1.5 * (2.5)^2x = 12
Answer by
jim_thompson5910(35256)
(
Show Source
):
You can
put this solution on YOUR website!